Contoh Soal KSM MTs Matematika – adalah sebuah referensi pembelajaran bagi kamu yang menjadi siswa atau peserta didik di madrasah tsanawiyah. Contoh soal matematika ini lebih diutamakan sebagai bahan latihan kandidat Kompetisi Sains Madrasah.
Melalui Direktorat Jenderal Pendidikan Islam, Kemenag membuat KSM sebagai wadah untuk meningkatkan persaingan murid madrasah se Indonesia dalam bidang sains. Awalnya KSM dilaksanakan secara konvensional, namun sekarang ini telah menggunakan sistem teknologi digital (online).
KSM dilaksanakan untuk seluruh jenjang pendidikan madrasah dari mulai MI, MTs, hingga MA. Proses pelaksanaan KSM dikategorikan menjadi 4 (empat) tingkat, dimulai dari tingkat SP (Satuan Pendidikan), Kabupaten/Kota, Provinsi, hingga yang terakhir adalah tingkat Nasional.
KSM sendiri terbagi berdasarkan mapel yang diujikan, dimana salah satunya adalah mapel matematika. Pada kesempatan kali ini, kursiguru akan membagikan contoh soal KSM mapel Matematika khusus untuk jenjang MTs beserta pembahasannya. Contoh soal KSM Matematika ini bisa langsung didownload tanpa memerlukan biaya.
Contoh Soal KSM Matematika MTs Beserta Kunci Jawaban & Pembahasan
Download Contoh Soal Kompetisi Sains Madrasah
Disini kursiguru akan membagikan contoh soal KSM terlebih dahulu, agar kamu semua mendapatkan gambaran dari soal-soalnya. Untuk contoh soal KSM mata pelajaran matematika sendiri bisa kamu download secara langsung melalui link di bawah. Cara downloadnya juga sama dengan cara mendownload CONTOH SOAL AKG.
Download Soal KSM MTs Matematika [PDF]
Contoh Soal KSM Matematika Jenjang MTs
Karena bentuk filenya adalah PDF, kamu bisa langsung mencetak contoh soal di atas menggunakan printer normal. Pada file itu juga sudah tersedia kunci jawabannya, jadi kamu bisa mencocokkan hasil pengerjaanmu dengan jawaban yang benar. Pembahasan contoh soal tersebut juga dapat kamu lihat langsung pada penjelasan di bawah ini.
Pembahasan Contoh Soal Kompetisi Sains Madrasah
Silakan simak pembahasan mengenai contoh cara mengerjakan soal-soal KSM MTs dari kursiguru berikut.
Soal KSM MTs Matematika nomor 1
Harga tahun ke-0 (a) = Rp. 10.000.000.
Harga tahun ke-1 (b) = Rp.9.000.000.
Penyusutan harga : r %
Berapa harga tahun ke-2 (c)?
Jawab:
Karena b = a – ar, maka c = b – br
c = 9.000.000 – (9.000.000 x 10%) = 9.000.000 – 900.000 = 8.100.000
Jadi harga tahun ke-2 nya adalah Rp. 8.100.000.
Soal KSM MTs Matematika nomor 2
Terdapat 3 peci hitam, 2 peci putih, serta terjadi dua kali pengambilan (tanpa pengembalian).
Peluang terambil peci putih berurutan?
Jawab:
Dimana:
p1 merupakan peluang pengambilan pertama, ketika peci putih berjumlah 2 & peci hitam 3 sehingga total peci 5, sedangkan p2 merupakan peluang pengambilan kedua ketika peci putih berjumlah 1 & peci hitam 3 sehingga total peci 4.
Soal KSM MTs Matematika nomor 3
x:y = 1:2 atau x = ½ y atau y = 2x
Berapakah
Jawab:
Soal KSM MTs Matematika nomor 4
p = 10 centimeter, l = 9 centimeter, t = 8 centimeter.
Berapakah Diagonal ruang balok (d)?
Jawab:
Soal KSM MTs Matematika nomor 5
Himpunan angka= {2,3,7,9,0}
Berapa banyak bilangan 4 angka (A) yang lebih dari 3000 & habis dibagi 5, dimana angka boleh diulang?
Jawab:
a1 (angka posisi pertama), karena lebih dari 3000 maka a1 = {7,9} = 2
a2 (angka posisi kedua) = {2,3,7,9,0} = 5
a3 (angka posisi ketiga) = {2,3,7,9,0} = 5
a4 (angka posisi keempat), karena harus habis dibagi 5 maka a4 = {0} = 1
Sehingga, A =a1 x a2 x a3 x a4 = 2 x 5 x 5 x 1 = 50.
Soal KSM MTs Matematika nomor 6
Lakukanlah perhitungan secara berhati-hati serta teliti pada gambar tersebut contoh soal KSM MTs tersebut.
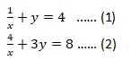
Soal KSM MTs Matematika nomor 7
Jika
Berapakah nilai x/y dari contoh soal KSM di atas?
Jawab:
Persamaan (1) dikali 4 untuk menghilangkan nilai x
selanjutnya mencari nilai x,
Maka hasil akhirnya menjadi
Soal KSM MTs Matematika nomor 8
Dimisalkan dameter roda = d1, diameter lintasan = d2.
Diameter lintasan = 200x diameter roda, maka d2 = 200 d1.
Jika apri mengelilingi lintasan sebanyak 1 kali, maka berapa banyak putaran roda agar kembali ke titik permulaan
Jawab:
Jumlah putaran = Keliling lintasan/Keliling roda, sehingga menjadi:
Soal KSM MTs Matematika nomor 9
Misal kedua bilangan tersebut adalah v dan w, maka:
Jawab:
Jadi jumlah kebalikan kedua bilangan adalah 1/7.
Soal KSM MTs Matematika nomor 10
Sisi persegi (s) = 10 cm.
Berapakah luas area diarsir pada contoh soal KSM MTs tersebut?
Jawab:
Luas area terarsir sebenarnya adalah setengah dari luas persegi, jadi:
Jadi luas area terarsir adalah 50 cm².
Demikian pembahasan beberapa butir soal KSM mapel matematika dari Kemenag. Untuk dapat menguasai mata pelajaran dari bidang sains memang memerlukan banyak latihan soal. Oleh karena itu berlatihlah mengerjakan soal KSM di atas dengan sungguh-sungguh, agar bisa mengharumkan namamu serta nama sekolahmu.

















Tinggalkan komentar