Contoh Soal Barisan dan Deret – Barisan dan Deret termasuk materi soal yang kerap muncul di berbagai ujian seperti UN, UTBK, AKM, hingga tes CPNS. Oleh karena itu kursiguru akan mengulas soal barisan serta deret di artikel ini.
Barisan dan deret merupakan hal yang berbeda, namun karena diajarkan dalam satu bab, orang sering memahami keduanya sebagai hal yang sama saja. Maka dari itu, tiap orang harus memahami materi barisan dan deret dengan cara berlatih mengerjakan soal.
Alasan lain terjadinya kesalahpahaman antara barisan dan deret adalah karena jika disajikan dalam bentuk soal keduanya cenderung serupa. Meski begitu ada cara mudah agar bisa menentukan sebuah soal adalah soal deret atau soal barisan.
Di sini, kursiguru akan menguraikan mengenai berbagai hal terkait materi matematika tersebut. Diantaranya adalah pengertian, jenis, contoh soal dan jawaban, baik untuk materi barisan maupun deret.
Pengertian Barisan dan Deret

Barisan mempunyai pengertian sebagai runtutan angka atau bilangan dari kiri ke kanan dengan pola serta karakteristik khusus. Tiap bilangan dalam barisan disebut sebagai suku (U).
Sehingga pada suatu barisan, kamu akan punya suku pertama (U1) hingga suku ke-n (Un). Contoh : 1, 2, 3, 4, 5, 6 = U1, U2, U3, U4, U5, U6 dengan n= 6.
Sedangkan Deret dapat dimengerti sebagai hasil penjumlahan suku-suku pada sebuah barisan. Jika contoh barisan di atas dijadikan deret maka akan menjadi 1 + 2 + 3 + 4 + 5 + 6.
Namun deret tidak selalu menjumlahkan keseluruhan suku dalam suatu barisan. Bisa saja kamu menemukan soal dengan ketentuan penjumlahan suku tertentu saja.
Bisa disimpulkan bahwa deret pasti terbentuk dari barisan, namun sebuah barisan tidak selalu dicari deretnya.
Jenis Barisan dan Deret

Dari segi bentuknya baik barisan serta deret terbagi ke dalam 2 (dua) jenis dasar, yaitu aritmatika serta geometri.
Barisan Aritmatika
Sebelumnya kita sudah bahas mengenai Contoh Soal Aritmatika Sosial, dan sebenarnya tidak jauh berbeda. Di mana suku dalam barisan memiliki beda nilai (b) tetap. Jadi beda nilai U2 dengn U1 akan sama seperti beda nilai U3 dengan U2.
Contoh : 11, 13, 15, 17, 19, 21, 23, 25, 27, 29 beda antar sukunya bernilai 2 (b=2).
Barisan Geometri
Untuk jenis barisan geometri, suku-sukunya memiliki rasio tertentu, dimana besarnya rasio adalah pembagian antara satu suku dengan suku sebelumnya.
Contoh : 9, 27, 81, 243, 729 memiliki nilai rasio 3, karena 27/9 =3, 81/27 =3, 243/81 = 3, serta 729/243 = 3 (r=3).
Contoh : 1, 2, 4, 8, 16, 32 …. Un memiliki rasio sebesar 2. Barisan geometri dengan U1=1 sedangkan r=2 disebut sebagai barisan segitiga Pascal.
Jenis Barisan Lainnya
Selain kedua jenis barisan dasar di atas, ada juga jenis barisan lainnya sebagai berikut.
- Barisan Bilangan Kuadratik
Angka dalam barisan bilangan kuadratik nilainya berupa hasil kuadrat nilai n. Contoh : 1, 4, 9, 16, 25, 36, … sehingga U10 = (10)2 = 100. - Barisan Bilangan Segitiga
Beda suku-suku barisannya memiliki pertambahan nilai tertentu.
Contoh : 3, 6, 10, 15, 21 dimana 6-3 = 3, 10-6 =4, 15-10 = 5, artinya nilai b bertambah 1 setiap kenaikan satu tingkat.
Contoh : 4, 6, 10, 16, 24 dengan besarnya pertambahan nilai b adalah 2. - Barisan Fibonacci
Merupakan nama untuk barisan khusus dimana besarnya Un adalah penjumlahan 2 (dua) angka sebelumnya.
Barisan Fibonacci = 1, 2, 3, 5, 8, 13, 21, 34, 55, 89, … Un. - Barisan Campuran
Dimana selisih antara suku-sukunya memiliki beda (b) serta rasio (r).
Contoh : 2, 9, 30, 93, 282 dimana 282 = 3(93) + 3, 93 = 3(30) + 3, sehingga diperoleh r = 3 sedangkan b = 2.
Beberapa barisan lain di atas seringkali dimunculkan dalam soal UN, UTBK, SBMPTN, hingga soal SKD CPNS.
Rumus Barisan dan Deret
Di sini, penulis akan berfokus pada rumus untuk barisan dan deret dasar saja, karena jenis barisan lainnya tidak memiliki rumus tetap atau rumusnya sama dengan rumus barisan dasar.
Rumus Barisan dan Deret Aritmatika

Rumus Barisan dan Deret Geometri

Contoh Soal Barisan dan Deret & Jawaban
Di bawah ini adalah contoh soal barisan dan deret beserta jawaban yang dapat kursiguru bagikan untuk kamu. Contoh soal barisan dan deret dari penulis didapat dari berbagai sumber seperti buku, internet, serta modul pembelajaran matematika.
Adapun contoh soal barisan serta deret digambarkan dalam peristiwa kehidupan sehari-hari. Selain itu, dari pembahasan contoh soal ini juga nantinya sangat cocok dipakai untuk siswa SMP kelas 8 & 9, serta SMA kelas 10, 11, bahkan 12.
Contoh Soal (1) – Aritmatika
Soal :
Hitunglah besarnya U32 dari barisan 7, 9, 11, 13, 15, 17, 19, 21, 23, 25, 27, …
Jawaban :

Contoh Soal (2) – Aritmatika
Soal :
Berdasarkan barisan contoh soal nomor 1, hitunglah deret untuk 25 angka pertama.
Jawaban :

Contoh Soal (3) – Aritmatika
Soal :
Tentukanlah suku tengah dari barisan 9, 11, 13, 15, 17, … 69.
Jawaban :

Contoh Soal (4) – Aritmatika
Soal :
Berdasarkan barisan pada contoh soal (3), carilah besar n.
Jawaban :

Contoh Soal (5) – Geometri
Soal :
Tentukanlah suku ke 11 dari barisan bilangan 1, 2, 4, 8, 16 ….
Jawaban :

Contoh Soal (6) – Geometri
Soal :
Hitunglah deret hingga suku ke 8 dari barisan 1, 2, 4, 8, 16 ….
Jawaban :

Contoh Soal (7) – Geometri
Soal :
Hitunglah deret hingga suku ke 11 dari barisan 1, 2, 4, 8, 16 ….
Jawaban :

Contoh Soal (8) – Geometri
Soal :
Apabila suatu deret memiliki nilai a=3, sedangkan U9=768, hitunglah U7 nya.
Jawaban :

Contoh Soal (9) – Geometri
Soal :
Lakukan perhitungan pada jumlah 7 suku pertama dari deret 2, 6, 18, 54 …
Jawaban :

Contoh Soal (10) – Geometri
Soal :
Hitunglah jumlah 13 suku pertama dari deret 2, 6, 18, 54 …
Jawaban :

Contoh Soal (11) – Aritmatika
Soal :
Seorang anak menabung di suatu bank dengan selisih kenaikan tabungan antar bulan tetap. Pada bulan pertama sebesar Rp. 50.000,00, bulan keduaRp.55.000,00, bulan ketiga Rp.60.000,00, dan seterusnya. Besar tabungan anak tersebut selama dua tahun adalah
Jawaban :

Contoh Soal (12) – Aritmatika
Soal :
Dari suatu deret aritmatika diketahui U3 = 13 dan U7 = 29. Jumlah dua puluh lima suku pertama deret tersebut adalah
Jawaban :

Contoh Soal (13) – Aritmatika
Soal :
Suku ke – n suatu deret aritmatika Un = 3n – 5. Rumus jumlah n suku pertama deret tersebut adalah
Jawaban :

Contoh Soal (14) – Aritmatika
Soal :
Jumlah n buah suku pertama deret aritmatika dinyatakan oleh Sn = (5n – 19). Beda deret tersebut adalah
Jawaban :

Contoh Soal (15) – Aritmatika
Soal :
Empat buah bilangan positif membentuk barisan aritmatika. Jika perkalian bilangan pertama dan keempat adalah 46, dan perkalian bilangan kedua dan ketiga adalah 144, maka jumlah keempat bilangan tersebut adalah
Jawaban :

Contoh Soal (16) – Aritmatika
Soal :
Jumlah n suku pertama deret aritmatika adalah Sn=n2+(5/2)n. Beda dari deret aritmatika tersebut adalah
Jawaban :

Contoh Soal (17) – Aritmatika
Soal :
Dari deret aritmatika diketahui suku tengah 32. Jika jumlah n suku pertama deret itu 672, berapa banyak suku deret tersebut?
Jawaban :

Contoh Soal (18) – Aritmatika
Soal :
Dari suatu barisan aritmatika, suku ketiga adalah 36, jumlah suku kelima dan ketujuh adalah 144. Jumlah sepuluh suku pertama deret tersebut adalah
Jawaban :

Contoh Soal (19) – Geometri
Soal :
Hitunglah total deret geometri tak hingga √2 + 1 + 1/2(√2) + 1/2 + …
Jawaban :

Contoh Soal (20) – Geometri
Soal :
Data yang diperoleh dari hasil pengamatan setiap hari terhadap tinggi sebuah tanaman membentuk barisan geometri. Bila pada pengamatan hari kedua adalah 2 cm dan pada hari keempat adalah 3 cm, maka tinggi tanaman tersebut pada hari pertama pengamatan
Jawaban :

Contoh Soal (21) – Aritmatika
Soal :
Seorang ibu mempunyai 5 orang anak yang usianya membentuk suatu barisan aritmatika. Jika sekarang usia si bungsu 15 tahun dan si sulung 23 tahun, maka tentukanlah jumlah usia kelima orang tersebut 10 tahun yang akan datang.
Jawaban :

Contoh Soal (22) – Geometri
Soal :
Umur Razan, Amel dan Icha membentuk barisan geometri. Jumlah usia mereka 14 tahun. Perbandingan usia Icha dan Amel adalah 2 : 1. Razan berumur paling muda. Berapa usia Razan?
Jawaban :

Contoh Soal (23) – Aritmatika
Soal :
Tempat duduk gedung pertunjukan film diatur mulai dari baris depan ke belakang dengan banyak baris di belakang lebih 4 kursi dari baris di depannya. Bila dalam gedung pertunjukan terdapat 15 baris kursi dan baris terdepan ada 20 kursi, hitung kapasitas gedung pertunjukan?
Jawaban :

Contoh Soal (24) – Geometri
Soal :
Suatu bola dijatuhkan dari ketinggian 9 meter. Setiap memantul, bola mencapai ketinggian 2/3 dari tinggi sebelumnya. Tentukan panjang lintasan gerak bola sampai berhenti.
Jawaban :

Contoh Soal (25) – Geometri
Soal :
Seutas tali dipotong-potong menjadi 6 bagian dengan panjang potongan-potongan membentuk barisan geometri. Jika panjang potongan terpendek 10 cm dan terpanjang 320 cm, berapa panjang tali sebelum dipotong?
Jawaban :

Contoh Soal (26) – Geometri
Soal :
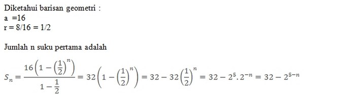
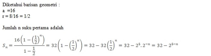
Suatu barisan geometri 16, 8, 4, 2, …, maka jumlah n suku pertama akan bernilai?
Jawaban :

Contoh Soal (27) – Aritmatika
Soal :
Seorang kakek membagikan permen kepada 6 orang cucunya, menurut aturan deret aritmatika. Semakin muda usia cucu semakin banyak permen yang diperolehnya. Jika permen yang diperoleh cucu kedua sebanyak 9 buah dan cucu kelima sebanyak 21 buah, jumlah seluruh permen?
Jawaban :

Contoh Soal (28) – Aritmatika
Soal :
Adit menabung setiap bulan di sebuah bank. Pada bulan pertama Adit menabung sebesar Rp80.000,00 dan pada bulan-bulan berikutnya uang yang ditabung selalu Rp5.000,00 lebih besar dari uang yang ditabung pada bulan sebelumnya. Jumlah uang tabungan Adit selama satu tahun?
Jawaban :

Contoh Soal (29) – Geometri
Soal :
Sebuah zat radioaktif meluruh menjadi setengahnya dalam waktu 2 jam. Jika pada pukul 06.00 massa zat tersebut 1.600 gram, massa zat yang tersisa pada pukul 14.00?
Jawaban :

Contoh Soal (30) – Geometri
Soal :
Suatu virus berkembang biak dua kali lipat setiap 2 jam. Bila jumlah virus pada pukul 07.00 banyaknya 5 spesies, perkembangbiakan virus tersebut pada pukul 15.00?
Jawaban :

Download Materi & Contoh Soal Latihan Barisan dan Deret
Sudah memahami cara mengerjakan soal barisan? Jika belum kamu bisa download materinya di file berikut.
Jika sudah paham, cobalah kerjakan contoh soal latihan terkait barisan dan deret berikut.
Akhir Kata
Demikian uraian kursiguru seputar materi serta contoh soal barisan dan deret. Karena jenis soal ini sering dimunculkan dalam berbagai tes maupun ujian, maka tidak ada salahnya untuk mencoba mempelajarinya. Semoga uraian serta file di atas bisa membantumu belajar sehingga lulus ujian, baik itu ulangan sekolah, UN, UTBK, SBMPTN, AKM ataupun tes SKD CPNS.






Tinggalkan komentar